0 引言
尺寸效應是脆性材料的固有特性。目前國內外關于混凝土材料尺寸效應的研究對象主要集中于索混凝土、鋼筋混凝土及預應力}混凝土,并取得了一定的研究成果[1]。對于纖維約束混凝土材料的尺寸效應研究,目前仍處于起步階段,研究對象大部分是碳纖維布約束的圓柱體試件[2]。方形試件由于存在直角,受力和破壞形式與網柱體不同,強度的尺寸效應也有異于圓柱體試件。關于約束混凝土材料方形試件的尺寸效應研究,澳大利亞的Masia對碳纖維布約束素混凝土方形截面試件的尺寸效應進行了試驗研究[3],結果表明試件的軸向峰值應力和軸向峰值應變隨試件尺寸的增加而下降。本文通過試驗研究了玄武巖纖維布約束素混凝土方柱的尺寸效應,并在試驗結果的基礎上改進了纖維約束混凝土材料的尺寸效應強度模型。
1 玄武巖纖維布約束混凝土方柱的試驗
1.1原材料
水泥選用P·0 32.5級水泥;粗骨料為最大粒徑25 mm的卵石,含水率0.244%;細骨料為細度模數為2.22的河砂。外加劑選用江西省創新外加劑有限公司生產的聚羧酸鹽高效減水劑LCX-9,摻入量為水泥質量的0.5%;玄武巖纖維單向布由浙江得邦高技術纖維有限公司生產,其規格和性能如表1所示。試驗采用的黏結膠水為湖南固特邦土木技術有限公司生產的JN—C碳纖維加同專用膠。

1.2試件設計與制作
試件為素混凝土方柱,采用標準成型和養護工藝制作而成。試件分為3種不同的尺寸,共分9組,每組有3個試件,總共27個試件。試件如圖1所示,立方體抗壓強度為50.44 MPa。約束的方柱采用全包的粘貼方式。試件的尺寸及約束形式如表2所示。
1.3加載方式
100 mm×100mm×300 mm的試件采用100 t電液伺服試驗機上進行加載,150 mm×150 mm×450 mm及200 mm×200 mm×600 mm的試件在500 t長柱液壓試驗機上進行加載,加載過程按照GB 50152—1992《混凝土結構試驗方法標準》的有關規定進行。正式加載前,先對試件進行物理對中和幾何對巾,然后正式分級加載。每級加載為極限承載力的10%,待讀數穩定后再讀取數據。當加至80%~90%最大荷載后,級差減半,并繼續緩慢連續加載,直至試件破壞,
測量試件應變的應變片布置如圖2所示..試驗中,電阻應變片的應變及百分表數值均通過DH381 9靜態測試儀采集。

2試驗結果及尺寸效應分析
2.1試驗結果
和圓形柱不同,方形柱中FRP約束應力分布是不均勻的,即使試件的角部倒為圓角,其角部的受力仍為最大,所以FRP約束混凝土方柱的破壞通常發生在角部,表現為角部FRP被拉斷。
試驗得到3種尺寸試件的極限抗壓強度如表3所示。一層約束素混凝土方柱的極限抗壓強度與未約束素混凝土方柱相比極限抗壓強度都有所提高,但提高的幅度都不大,3種尺寸
的極限抗壓強度提高幅度分別為22.61%、12.28%、8.34%;二層約束素混凝土方柱的極限抗壓強度較未約束的素混凝土方柱相比有了明顯的提高,3種尺寸的極限抗壓強度提高的幅度分別達39.02%、22.03%、12.46%。

從表3數據中可以發現,粘貼一層BFRP約束素混凝土方柱的極限抗壓強度提高的幅度較低,這是由于BFRP約束程度較小,使其應力一應變曲線中出現軟化段;粘貼二層BFRP約束素混凝土方柱的極限抗壓強度提高的幅度較高,這是由于BFRP約束程度相對來說較大,使其應力一應變曲線中出現強化段,使試件的極限抗壓強度得到進一步的提高;在相同的約束層數下,不同試件的極限抗壓強度提高的幅度隨著尺寸的增大而降低,這說明FRP約束幾何相似的素混凝土方柱之間也存在尺寸效應現象,出現這種現象的原因是由于FRP約束大尺寸試件中FRP的用量相對來說較大,出現存在質量問題的FRP纖維的可能性更大,纖維首先在這些地方發生斷裂,從而混凝土構件發生破壞。
2.2極限抗壓強度的尺寸效應分析
從表3可以看出,玄武巖纖維布約束混凝土方柱的抗壓強度存在明顯的尺寸效應。相同的約束層數,試件尺寸越大,其強度的測量值越小,不同尺寸約束試件的強度如圖3所示。從圖3可以看出,3種不同尺寸的未約束試件的抗壓強度基本相同,這是因為這3種試件的抗壓強度測量值都是同強度等級素混凝土方柱的軸心抗壓強度,所以差距不趕;試件約束后,由于纖維布對試件的橫向約束,使得不同尺寸試件的抗壓強度差距明顯,且約束層數越多,抗壓強度的尺寸效應越明顯。

若以200 mm×200 mm×600 mm試件為標準,其他約束形式與其相同的試件強度與其強度之比為強度換算系數,則得各試件抗壓強度的換算系數如表4所示。

2.3纖維約束混凝土試件抗壓強度模型及其修正
關于纖維約束混凝土試件的應力一應變關系,國內外已經開展了大量的研究,并提出了一些相關的計算模型。其中具有代表性的有Mander et a1.[4]和Lam and Teng[5]的模型。
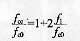
Mander et a1.在混凝土多軸破壞面提出的模型基礎上,提出了計算纖維約束混凝土的強度模型如下:

式中:fcc一約束混凝土試件的強度,MPa;
fc0一未約束混凝土試件的強度,MPa;
f1-纖維側向約束強度,MPa。
Lam and Teng在比較已有的強度模型以及對大量的試驗數據重新歸類整理并進行回歸分析,最終得出了一個比較可靠的強度模型,即:

依照式(1)和式(2)對約束混凝土的強度進行了計算,結果如表5所示。

從表5可以看出,Mander模型的計算值明顯大于試驗值;Lam and Teng模型的計算值和試驗值比較接近,但仍存在一些差異。這主要是因為Lam and Teng模型中沒有考慮尺寸效應對約束混凝土抗壓強度的影響。而在相同的約束程度的情況下,不同幾何尺寸的混凝土方柱抗壓強度之間明顯存在尺寸效應。
針對Lam and Teng模型的不足,本文在試驗數據的基礎上,對Lam and Teng模型中有效約束系數進行適當的修正,在其中加入與構件幾何尺寸有關的參數,從而得到改進的強度模型如式(3)所示。

式中:k1-有效約束系數;
ke-與構件幾何尺寸有關的系數。
利用本文的強度計算公式得到各約束混凝土構件的強度如表5所示。其中幾何尺寸系數取值如表6所示。由于考慮了尺寸效應的影響,所以修改后的強度模型值更接近于試驗結果。

3結論
本文開展了試件尺寸為100mm×l00mm×300mm、150mm×150 mm×450 mm、200 mm×200 mm×600 mm的玄武巖纖維布約束混凝土方柱的抗壓強度試驗。得到如下結論:
(1)纖維約束試件具有明顯的尺寸效應,且隨約束層數的增加,尺寸效應更為明顯。
(2)以200 mmx200 mmx600 mm試件的抗壓強度為基準,其他兩種尺寸的素混凝土試件抗壓強度換算系數為1.002和0.997;一層約束試件的強度換算系數分別為1.055和1.131;二層約束試件的強度換算系數分別為1.086和1.232。
(3)在原有Lam andTeng模型的基礎上,加入了幾何尺寸系數。使原有強度模型考慮了尺寸效應對試件強度的影響,從而使該模型更加合理可靠。
參考文獻:
[1]黃煜鑌,錢覺時.高強及超高強混凝土的脆性與強度尺寸效應[J].工業建筑,2006,35(1):15—17.
[2]YAZIC S,SEZER G I.The effect of cylindrical specimen size on the compressive strength of concrete[J].Building and Environment,2007(42):2417—2420.
[3]MASIA M J,GALE T N,SHIVE N G.Size effect in axially loaded
square—section concrete prisms strengthened using earhon fibre rein—
forced polymer wrapping[J].Canadian Journal of Civil Engineefing,
2004,31(1):1-13.
[4]MANDER J B,PRIESLU M J,PARK R.Theoretical stress—strain model
for confined concrete.Journal of Structural Engineering[J1.ASCE,
1988,114(8):1804—1826
[5]LAM L,TENG J G.Stress—strain models for FRP—confined concrete[D]. Hong Kong:Research centre for advanced technology in structural engineering.The Hong Kong Polytechnic University,2002
















